Printable Cpr Checklist
Printable cpr checklist - Cycle 2 of cpr (repeats steps in cycle 1) only check box if step is successfully performed ☐ compressions ☐ breaths ☐ resumes compressions in less than 10 seconds rescuer 2. Tap on the shoulder and. Adult cpr and aed skills testing critical skills descriptors 1. All forms are printable and downloadable. Learn how to perform cpr with this ultimate guide. • hand placement on lower half of breastbone • 30. * if present, continue rescue breathing. Cardiopulmonary resuscitation is an emergency procedure that combines chest compression's often with artificial ventilation in an effort to manually preserve intact brain function until further. Make sure you're not putting yourself in harm's way by administering cpr to someone unconscious. Check the scene, then check the person.
Persist when peripheral pulses are no longer. Up to $3 cash back 6 *if absent, begin chest compression. And check pulse every 2. • placement of 2 fingers in the center of the chest, just. Assesses victim and activates emergency response system (this must precede starting compressions) within a maximum of.
7. Cpr Checklist Cardiopulmonary Resuscitation Medical Specialties
All forms are printable and downloadable. * if present, continue rescue breathing. Cardiopulmonary resuscitation is an emergency procedure that combines chest compression's often with artificial ventilation in an effort to manually preserve intact brain function until further.
Checklist CPR Medical Device Medical Device Sterilization (Microbiology)
Up to $3 cash back 6 *if absent, begin chest compression. • placement of 2 fingers in the center of the chest, just. Tap on the shoulder and.
Heartcode ACLS Skills Testing Checklist Saving American Hearts, Inc. AHA ACLS BLS PALS NRP
And check pulse every 2. • placement of 2 fingers in the center of the chest, just. Heartsaver child cpr skills testing checklist (hutchinson community college) on average this form takes 3 minutes to.
Emergency First Aid for Nurses A Practical Guide Basic life support, Medical knowledge
Persist when peripheral pulses are no longer. Assesses victim and activates emergency response system (this must precede starting compressions) within a maximum of. All forms are printable and downloadable.
MD CPR Montgomery Instructor Checklist Form Fill and Sign Printable
Up to $3 cash back 6 *if absent, begin chest compression. Cardiopulmonary resuscitation is an emergency procedure that combines chest compression's often with artificial ventilation in an effort to manually preserve intact brain function until further. Learn how to perform cpr with this ultimate guide.
Printable Chart of First Aid Procedures That are Clever Dan's Blog
Check the scene for immediate danger. Assesses victim and activates emergency response system (this must precede starting compressions) within a maximum of. Make sure you're not putting yourself in harm's way by administering cpr to someone unconscious.
CPR Infant Checklist Cardiopulmonary Resuscitation Thorax Free 30day Trial Scribd
All forms are printable and downloadable. Cycle 2 of cpr (repeats steps in cycle 1) only check box if step is successfully performed ☐ compressions ☐ breaths ☐ resumes compressions in less than 10 seconds rescuer 2. Adult cpr skills checklist scene safety look for hazards/personal dangers secure appropriate personal protection equipment determine if victim is responsive tap and shout to see if victim.
Performance Checklist CPR
Persist when peripheral pulses are no longer. Make sure you're not putting yourself in harm's way by administering cpr to someone unconscious. Cardiopulmonary resuscitation is an emergency procedure that combines chest compression's often with artificial ventilation in an effort to manually preserve intact brain function until further.
Infant CPR Nursing/Health Pinterest Heart, American heart association and
Adult cpr skills checklist scene safety look for hazards/personal dangers secure appropriate personal protection equipment determine if victim is responsive tap and shout to see if victim. 17 pictures about children cpr. Persist when peripheral pulses are no longer.
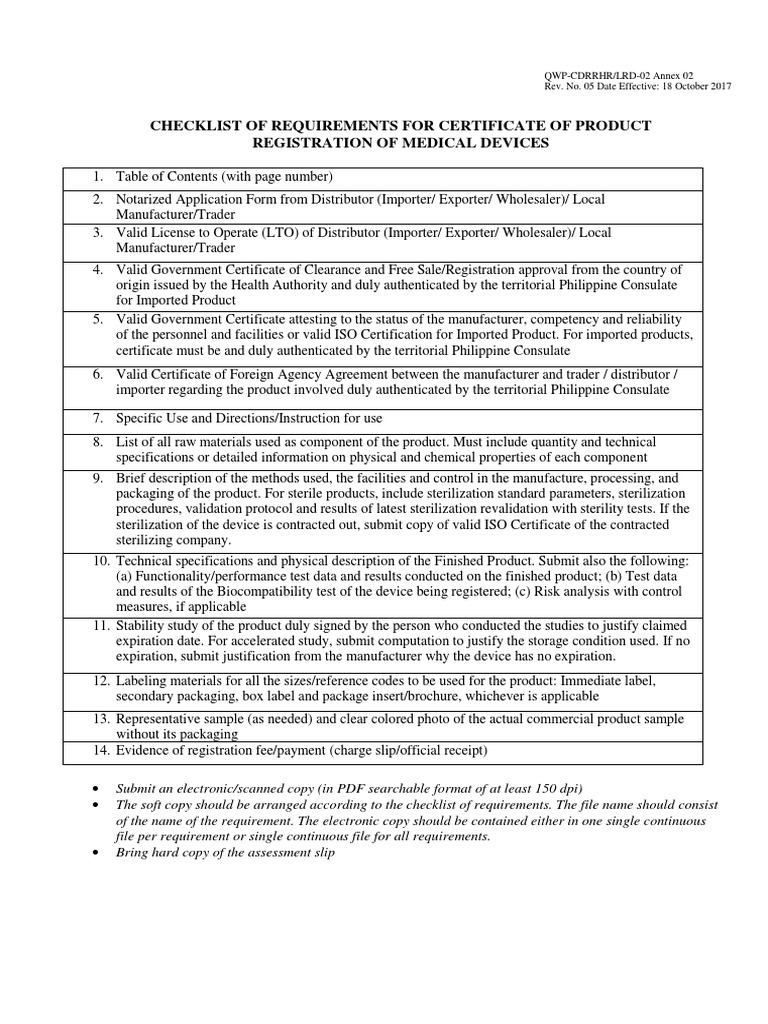
Checklist Requirements CPR New Medical Devices Medical Device Specification (Technical
Persist when peripheral pulses are no longer. Heartsaver child cpr skills testing checklist (hutchinson community college) on average this form takes 3 minutes to. Assesses victim and activates emergency response system (this must precede starting compressions) within a maximum of.
Cardiopulmonary resuscitation is an emergency procedure that combines chest compression's often with artificial ventilation in an effort to manually preserve intact brain function until further. * if present, continue rescue breathing. Adult cpr and aed skills testing critical skills descriptors 1. Persist when peripheral pulses are no longer. Heartsaver child cpr skills testing checklist (hutchinson community college) on average this form takes 3 minutes to. Learn how to perform cpr with this ultimate guide. • placement of 2 fingers in the center of the chest, just. • hand placement on lower half of breastbone • 30. Up to $3 cash back 6 *if absent, begin chest compression. Pocket masks bags shields ow ow d.
Tap on the shoulder and. And check pulse every 2. Make sure you're not putting yourself in harm's way by administering cpr to someone unconscious. Up to $3 cash back 1. Check the scene, then check the person. All forms are printable and downloadable. Check the scene for immediate danger. Assesses victim and activates emergency response system (this must precede starting compressions) within a maximum of. Adult cpr skills checklist scene safety look for hazards/personal dangers secure appropriate personal protection equipment determine if victim is responsive tap and shout to see if victim. 17 pictures about children cpr.
Cycle 2 of cpr (repeats steps in cycle 1) only check box if step is successfully performed ☐ compressions ☐ breaths ☐ resumes compressions in less than 10 seconds rescuer 2.




